Sost Biotech Co.,ltd
Email: ericyang@xasost.com
Tel: +86 13165723260
Office: 18F Tower B, High-tech Modern City Building, Zhangba 5th Road, Xian, China, 710075
1,3-Dimethyl-5-pyrazolone
1,3-Dimethyl-5-pyrazolone Introduction
1,3-Dimethyl-5-pyrazoleone is an important organic compound with the molecular formula C5H8N2O and a molecular weight of 112.13. It can be abbreviated as DP. It is an important intermediate for the synthesis of medicines, pesticides such as acaricide, herbicides such as pyrazotin, and dyes. It has a wide range of applications and a high added value. The properties of pure 1,3-dimethyl-5-pyrazoleone are manifested as white or pale yellow crystalline powder, which is soluble in water, alcohols, ketones, and ether solvents. When heated, it can be dissolved in esters, benzene, and xylene, etc. It is unstable in acidic and alkaline media and is prone to isomerization. It is easily oxidized when exposed to the air for a long time.
We are the supplier and seller of 99% 1,3-dimethyl-5-pyrazoleone in China. Factory discount price: 99.9% pure 1,3-dimethyl-5-pyrazoleone. We have sufficient stock and can guarantee supply.
Specification
| Chemical Name | 1, 3-Dimethyl-5-Pyrozolone (DMPO) |
| CAS | 2749-59-9 |
| EINECS | 220-389-2 |
| Molecular Formula | C5H8N2O |
| Molecular Weight | 112.13 |
| Appearance | white powder |
| 1E3-MP3[w/w,%] | ≤0.05 |
| Moisture[w/w,%] | ≤0.05 |
| Residue on lgnition[w/w,%] | ≤0.05 |
1,3-Dimethyl-5-pyrazolone Efficacy
APPLICATION
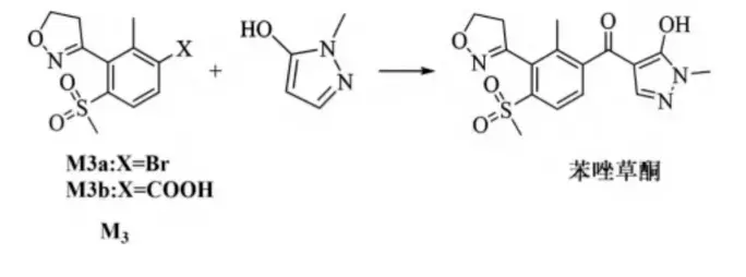
Pharmaceutical field: 1,3-Dimethyl-5-pyrazoleone has extensive applications in drug synthesis. Used for manufacturing the intermediate of the new acaricide azolestane and the herbicide pyrazotet, for the synthesis of the new pesticide acaricide azolestane and the herbicide pyrazotet.
SOST Biotech – Your Trusted 1,3-Dimethyl-5-pyrazolone Partner
✅ Certified Quality: ISO/GMP-compliant manufacturing
✅ Custom Solutions: Tailored concentrations & formulations
✅ Bulk Pricing: Competitive rates for OEM Services
✅ Global Shipping: Doorstep delivery with full documentation
Packing & Shipping

What We Can Do?

Product Data Sheets
| Analysis | Description | Result |
| Appearance | Brown powder | Conform |
| Odor | No special taste | Nasil |
| Identification | Conform with reference sample | HPLC |
| Mesh Size | 90%Though 80 Mesh | Conform |
| Loss on drying | <5% | 0.038 |
| Ash Content | ≤5.0% | GB5009.4 |
| Ash content | <20% | 0.1903 |
| Content (hypericin) | >0.3% | 0.301%(uv) |
| Heavy metal | <10ppm | Conform |
| Pesticide residue | Do not detect | Conform |
| Total bacteria | <1000cfu/g | Conform |
| Saccharomyces mycobacteria | <100cfu/g | Conform |
| Escherichia coli. | Do not detect | Conform |
| Salmonella | Do not detect | Conform |

Food Additives
